



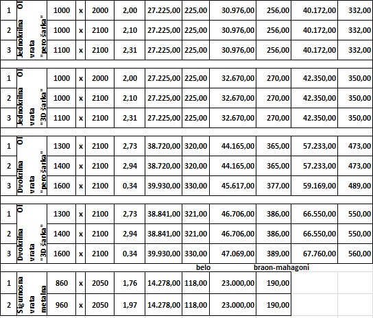
za dimenzije unutar datih veličina važi sledeća viša cena!
Cene u sa uračunatim PDV bez montaže
| Kvalitetni Salamander prozori - povoljne cene Nove i polovne mašine-oprema za izradu PVC stolarije Tel./Fax: +3812153520; Mob.: +381641430815; +381637747868 Ponedeljak - Subota 08.00 do 16.00 časova email: bg@pvcfenstertehnik.com |
![]() |
|
|
|
|
ROLETNE
|
PROZORI
|
KLIZNA VRATA
|
ULAZNA VRATA
|




za dimenzije unutar datih veličina važi sledeća viša cena!
Cene u sa uračunatim PDV bez montaže
|
|
|
|
VARILICE |
ČISTILICE |
TESTERE |
FREZE |
|
|
|
|
|